sistemas 3x3 gauss
Resuelve por el método de Gauss el sistema de ecuaciones:

SOLUCIÓN

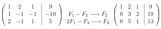
Pasamos a matriz y seguimos las indicaciones de Gauss


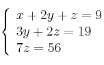
Ahora volvemos a pasar a sistema

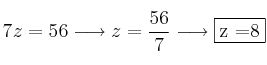
y lo resolvemos de abajo hacia arriba



[x=-1, y=1, z=8]
Resuelve por el método de Gauss el sistema de ecuaciones:


Pasamos a matriz y seguimos las indicaciones de Gauss


Ahora volvemos a pasar a sistema

y lo resolvemos de abajo hacia arriba



[x=-1, y=1, z=8]
Mensajes
17 de noviembre de 2006, 18:18
Solución: [x=-1, y=1, z=8]