• Apuntes
  • Vídeos
  • Ejercicios
    • Resueltos
    • Por Curso
      • 1º ESO
      • 2º ESO
      • 3º ESO
      • 4º ESO
      • 1º BACH. CIENCIAS
      • 1º BACH. SOCIALES
      • 2º BACH. CIENCIAS
      • 2º BACH. SOCIALES
  • Más recursos
    • Actividades Interactivas
    • Selectividad (PAU)
    • Acceso Mayores 25
    • LaTeX
Inicio ›EJERCICIOS de Matemáticas ›1º BACH. SOC. ›Ecuaciones y Sistemas ›sistemas gauss 3x3

sistemas gauss 3x3

💬 1

  gausssistema_lineal_3_ecuaciones_3incógnitas

Resuelve por el método de Gauss el sistema de ecuaciones:

\left\{ \begin{array}{lcc}
             3x + 2y + z = 1\\
             5x +3y +3z = 3\\
             x + y + z = 0
             \end{array}
   \right.

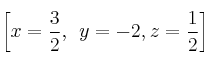
SOLUCIÓN

[x=\frac{3}{2},y=-2,z=\frac{1}{2}]

Comentar el ejercicio

Mensajes

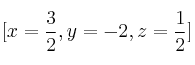
  • 30 de noviembre de 2006, 10:31, por dani

    \left[ x=\frac{3}{2}, \:\: y=-2, z=\frac{1}{2}  \right]

  • 1º BACH. SOC.
    • Funciones
    • Inecuaciones
    • Logarítmos
    • Números Reales
    • Polinomios
    • Estadística
    • Probabilidad
    • Variables Aleatorias Unidimensionales
    • Ecuaciones y Sistemas
    • Límites y Derivadas
    • Exámenes
    • Variables Aleatorias bidimensionales
    • Matemática Financiera
  • Mapa del sitio
  • Conectarse
  • 2001-2026 — Matemáticas IES — Contactar con Dani