📝 Ejercicios de polinomios
-
Usando las fórmulas de los productos notables, desarrolla las siguientes expresiones, simplificando y ordenando el resultado:
Productos Notables fórmula cuadrado de una suma 
cuadrado de una diferencia 
producto suma x diferencia 
– a)
– b)
– c)
– d)
-
Usando las fórmulas de los productos notables, desarrolla las siguientes expresiones, simplificando y ordenando el resultado:
Productos Notables fórmula cuadrado de una suma 
cuadrado de una diferencia 
producto suma x diferencia 
– a)
– b)
-
Expresa como cuadrado de una suma o de una diferencia, o bien como producto de una suma por una diferencia:
Ejemplo 
– a)
– b)
– c)
– d)
– e)
-
Expresa como cuadrado de una suma o de una diferencia, o bien como producto de una suma por una diferencia:
Ejemplo 
– a)
– b)
– c)
– d)
– e)
-
Usa las fórmulas de las identidades notables para calcular:
–
–
-
Aplica las fórmulas de las identidades notables, simplifica y ordena el resultado:
– a)
– b)
-
Calcula el mínimo común múltiplo de los polinomios:
–
–
-
Sean los polinomios:



Calcula:– a)
– b)
– c)
-
Sean los polinomios:
;
;
;
.
Calcula:– a)
– b)
– c)
– d)
-
Efectúa las operaciones indicadas y simplifica la expresión resultante:
– a)
– b)
– c)
– d)
– e)
– f)
-
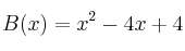
Sean los polinomios:

Calcula:
– a)
– b)
– c)
-
Realiza las siguientes divisiones de polinomios (aplica la regla de Ruffini cuando sea posible):
– a)
– b)
-
Dados los polinomios:
calcula:– a)
– b)
-
Calcula y simplifica:
– a)
– b)
-
Halla el cociente y el resto de las siguientes divisiones:
– a)
– b)
-
Sean los polinomios:


Calcula:– a)
– b)
– c)
-
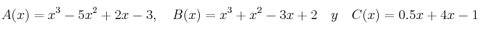
Dados los polinomios
,
y
, calcula:–
–
-
Sean los polinomios:
,
, 
Calcula:
–
–
-
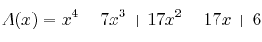
Sean los polinomios:
,
, 
Calcula:
–
–
-
Sean los polinomios:
Calcula:
