Matrices, Determinantes y Sistemas
(245) ejercicios de Matemáticas PAU Andalucía
(66) ejercicios de Matemáticas II — Álgebra (Matrices, Determinantes y Sistemas)
Considera el sistema

– a) Discútelo según los valores de
– b) ¿Cuál es, según los valores de
, la posición relativa de los planos cuyas ecuaciones respectivas son las tres que forman el sistema?
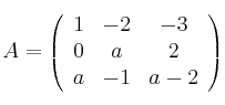
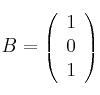
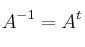
Se sabe que la matriz

verifica que det(A) = 1 y sus columnas son vectores perpendiculares dos a dos.
– (a) Calcula los valores de
y
.
– (b) Comprueba que para dichos valores se verifica que
donde
es la matriz traspuesta de A.
Considera la matriz

– (a) Siendo
la matriz identidad
y
la matriz nula
, prueba que
– (b) Calcula ![]()
Sea

¿Para qué valores de
existe la matriz inversa de
?. Calcula dicha matriz inversa.
Considera
,
y
– (a) Determina el rango de
en función del parámetro
– (b) Discute en función de
en sistema, dado en forma matricial
– (c) Resuelve
en los casos en que sea compatible indeterminado.