📝 Ejercicios de gráfica
-
Considera la función
.– a) Calcula su vértice
– b) Calcula los puntos de corte con los ejes de coordenadas
– c) Halla las imágenes de
y de
– d) Dibuja su gráfica
-
Calcula la ecuación de la recta tangente a la curva
en el punto de abcisa
. Haz la representación gráfica
-
Halla el valor de
para que la siguiente función sea continua:

Represente gráficamente la función para el valor de
que la hace continua.
-
Dadas las siguientes funciones, definidas por su expresión algebraica, selecciona la gráfica que corresponde a cada una e indica de qué tipo de función se trata.
a)

b)
c)
-
Sea la función

– a) Encuentre los puntos críticos de
por medio del criterio de la primera derivada
– b) Halle los intervalos donde la función es creciente y decreciente, así como los puntos máximos y mínimos
– c) Determine los puntos de inflexión
– d) Trace la gráfica de la función
-
Para la función
se pide:– a) Dominio
– b) Corte con los ejes
– c) Monotonía y Extremos
– d) Curvatura y Puntos de Inflexión
– e) Representación gráfica teniendo en cuenta los apartados anteriores -
Sea la función:

– a) Representación gráfica
– b) Indica Dominio, Corte con los ejes, Asíntotas, Monotonía y Extremos -
Sea la función:

– a) Representación gráfica
– b) Indica Dominio, Corte con los ejes, Asíntotas, Monotonía y Extremos -
Dada la siguiente función:

Haz un estudio completo de la misma siguiendo los siguientes pasos:
a) Halla el dominio de la función.
b) Haz un estudio de las simetrías que presenta (si es par, impar o ninguna de las dos cosas).
c) Halla los puntos de corte con los ejes.
d) Haz un estudio de las asíntotas que presenta (verticales, horizontales y oblicuas).
e) Haz un estudio de la monotonía (crecimiento y decrecimiento) y de los extremos que presenta (máximos y mínimos).
f) Haz un estudio de la curvatura (concavidad y convexidad) y de los puntos de inflexión.
g) Representa gráficamente la función con Geogebra
-
Realiza un estudio global de la función representada en la siguiente gráfica:

-
Realiza un estudio global (dominio, simetrías, corte con los ejes, asíntotas, monotonía, extremos y representación gráfica) de la función:

-
A continuación puedes ver la gráfica de una función definida a trozos. Obtén la expresión analítica, utilizando las expresiones adecuadas.
-
En la siguiente función indica:
a) Dominio
b) Recorrido
c) Extremos relativos (máximos y mínimos)
d) Puntos de corte. Si no coincide con un valor entero, utiliza una cifra decimal para expresarlo.
e) Monotonía (intervalos de crecimiento y decrecimiento)
-
[1]Para la siguiente función dibuje su gráfica, calcule dominio y rango. Estudie un punto donde la función sea continua y otro donde sea discontinua:
![f(x) =
\left\{
\begin{array}{lrc}
- \frac{\sqrt{4-(x+3)^2}}{2} - 1 & si & x < 1
\\ -x^2+2x-1 & si & -1 \leq x < 1
\\ 2 - |x-2| & si & 1 < x \leq 4
\\ 8-2x & si & 4 < x < 6 \\
\left[ x+2 \right] -1 & si & x > 6
\end{array}
\right. f(x) =
\left\{
\begin{array}{lrc}
- \frac{\sqrt{4-(x+3)^2}}{2} - 1 & si & x < 1
\\ -x^2+2x-1 & si & -1 \leq x < 1
\\ 2 - |x-2| & si & 1 < x \leq 4
\\ 8-2x & si & 4 < x < 6 \\
\left[ x+2 \right] -1 & si & x > 6
\end{array}
\right.](local/cache-TeX/2879c87af215fa1fbd169a3c9ba1914b.png)
-
Representa gráficamente las siguientes rectas (en los mismos ejes de coordenadas):

Comprueba gráficamente cuál es el punto de corte. Calcula algebraicamente el punto de corte (resolviendo el sistema de ecuaciones)
-
Relaciona cada una de las gráficas siguientes con su ecuación.
1)

2)

3)

4)

5)

6)

7)
-
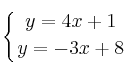
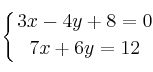
Resuelve gráficamente el sistema de ecuaciones:

-
Resuelve gráficamente el sistema de ecuaciones:

-
Resuelve gráficamente el sistema de ecuaciones:

-
Representa gráficamente la siguiente función:
