📝 Ejercicios de asíntotas
-
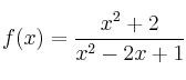
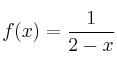
Calcula las asíntotas verticales y horizontales de la función

-
Calcula las asíntotas de las siguientes funciones:
– a)
– b)
-
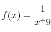
Halle las asíntotas de la función

-
Halla las asíntotas verticales de la siguiente función y estudia su comportamiento en las proximidades de las asíntotas.

-
Halla las asíntotas horizontales de las funciones:
–
–
-
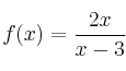
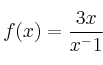
Halla la asíntota oblicua de la función:
–
-
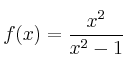
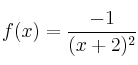
Calcula las asíntotas verticales y estudia el comportamiento en sus proximidades, de la función

-
Halla las asíntotas horizontales de las funciones:
–
–
–
–
-
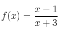
Calcula las asíntotas verticales y estudia el comportamiento en sus proximidades, de la función

-
Calcula las asíntotas verticales y estudia el comportamiento en sus proximidades, de la función

-
Sea la función:

– a) Representación gráfica
– b) Indica Dominio, Corte con los ejes, Asíntotas, Monotonía y Extremos -
Realiza un estudio global (dominio, simetrías, corte con los ejes, asíntotas, monotonía, extremos y representación gráfica) de la función:

-
Halla las asíntotas de la siguiente función y a partir de ellas, realiza un esbozo de su gráfica.

-
Halla las asíntotas de la siguiente función y a partir de ellas, realiza un esbozo de su gráfica.

-
Halla las asíntotas de la siguiente función y a partir de ellas, realiza un esbozo de su gráfica.

-
Halla las asíntotas de la siguiente función y a partir de ellas, realiza un esbozo de su gráfica.

-
Dada la función
, se pide:– a) Dominio, asíntotas, monotonía y corte con los ejes
– b) Representación gráfica -
Halla las asíntotas de la siguiente función y a partir de ellas, realiza un esbozo de su gráfica.

-
Halla las asíntotas de la siguiente función y a partir de ellas, realiza un esbozo de su gráfica.

-
Halla las asíntotas de la función:
