📝 Ejercicios de fracciones_algebraicas
-
Calcula y simplifica:

-
Opera las siguientes expresiones:
–
–
-
Calcula m y n para que se cumpla:

-
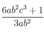
Simplifica las siguientes fracciones algebraicas:
–
–
–
–
-
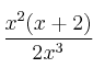
Simplifica las siguientes fracciones algebraicas:
–
–
–
-
Simplifica las siguientes fracciones algebraicas:
–
–
–
-
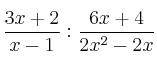
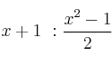
Realiza el siguiente cociente de fracciones algebraicas y simplifica el resultado:

-
Opera y simplifica

-
Opera y simplifica:

-
Opera y simplifica:
–
-
Opera y simplifica:
–
-
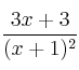
Simplifica las siguientes fracciones algebraicas:
–
–
–
-
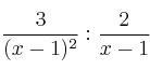
Opera y simplifica:

-
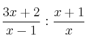
Opera y simplifica:

-
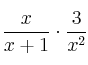
Opera y simplifica:

-
Opera y simplifica:

-
Opera y simplifica:

-
Opera y simplifica

-
Simplifica las siguientes expresiones:
– a)
– b)
– c)
-
Opera y simplifica
