• Apuntes
  • Vídeos
  • Ejercicios
    • Resueltos
    • Por Curso
      • 1º ESO
      • 2º ESO
      • 3º ESO
      • 4º ESO
      • 1º BACH. CIENCIAS
      • 1º BACH. SOCIALES
      • 2º BACH. CIENCIAS
      • 2º BACH. SOCIALES
  • Más recursos
    • Actividades Interactivas
    • Selectividad (PAU)
    • Acceso Mayores 25
    • LaTeX
Inicio ›EJERCICIOS de Matemáticas ›1º BACH. CIENCIAS ›Polinomios y Fracciones Algebraicas ›fracciones algebraicas

fracciones algebraicas

Ejercicios_Resueltosfracciones_algebraicaspolinomios

Simplifica las siguientes expresiones:

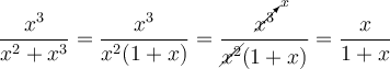
– a) \frac{x^3}{x^2 + x^3}
– b) \frac{x-1}{x^2-1}
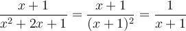
– c) \frac{x+1}{x^2+2x+1}

SOLUCIÓN

a) \frac{x^3}{x^2 + x^3} =\frac{x^3}{x^2(1+x)}=\frac{\cancelto{x}{x^3}}{\cancel{x^2}(1+x)} = \frac{x}{1+x}
b) \frac{x-1}{x^2-1}=\frac{\cancel{x-1}}{(x+1)\cancel{(x-1)}} = \frac{1}{x+1}
c) \frac{x+1}{x^2+2x+1}  = \frac{x+1}{(x+1)^2}  =\frac{1}{x+1}

Comentar el ejercicio

  • 1º BACH. CIENCIAS
    • Derivadas
    • Números Reales
    • Sucesiones
    • Logaritmos
    • Polinomios y Fracciones Algebraicas
    • Exámenes
    • Ecuaciones
    • Números Complejos
    • Sistemas de Ecuaciones
    • Trigonometría
    • Inecuaciones
    • Ecuaciones Exponenciales y Logarítmicas
    • Funciones (I)
    • Geometría en el Plano
    • Cónicas
    • Funciones II
    • Integrales
    • Probabilidad
  • Mapa del sitio
  • Conectarse
  • 2001-2026 — Matemáticas IES — Contactar con Dani