fracciones algebraicas
Opera y simplifica:

SOLUCIÓN
1) Factorizamos los denominadores. Para ello debemos recordar las fórmulas de los productos notables
![]()
![]()
![]()
![]()
2) Calculamos m.c.m. de los denominadores
![]()
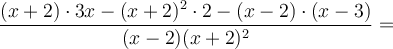
3) Reducimos las fracciones a común denominador
![]()
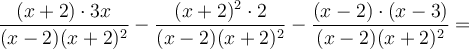
![]()
![]()
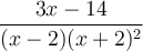
![]()