unidimensionales
Sea
una variable aleatoria que anota la diferencia (en valor absoluto) de puntos al lanzar dos dados. Se pide:
– a) Tabla de probabilidades
– b) esperanza matemática
– c) desviación típica
SOLUCIÓN
Al lanzar dos datos podemos obtener una diferencia de puntos que va desde 0 (si ambos son el mismo número) hasta 5 (sacando 1 y 6, o bien 6 y 1)
– a) Tabla de probabilidades

– b) esperanza matemática
![]()
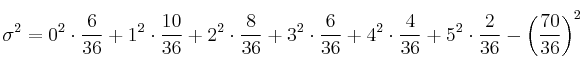
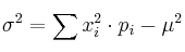
– c) desviación típica
La varianza se calcula con la fórmula:
![]()

La desviación típica es la raíz cuadrada positiva de la varianza
