Cálculo de límites de funciones irracionales (I)
Recordemos que funciones irracionales son aquellas funciones en las que aparece la «x» dentro de un signo radical.
Ejemplos de funciones irracionales:
– ![]()
– ![]()
– ![]()
Cálculo de límites de funciones irracionales cuando x tiende a un número
Veamos varios ejemplos:
– ![]()
– ![]()
Los problemas vienen cuando se dan situaciones como el siguiente ejemplo:
– ![]()
Obtenemos una indeterminación, que en estos casos (cuando hay radicales) se suelen resolver multiplicando y dividiendo por la expresión conjugada (y operando y simplificando después).
El conjugado de
es ![]()
El conjugado de
es ![]()
Para obtener el conjugado basta con cambiar el signo al segundo término.
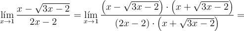
Vamos a probarlo:

Ya hemos multiplicado y dividido por el conjugado.
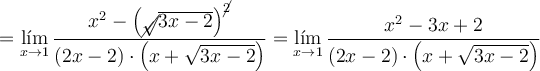
Ahora nos toca operar (recordando los productos notables)


Anda! Pues no hemos conseguido eliminar la Indeterminación. ¿Por qué?
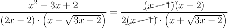
El problema es que hemos olvidado un paso:
– multiplicar y dividir por el conjugado (HECHO)
– operar (HECHO)
– simplificar (OLVIDADO)
Debemos intentar simplificar la expresión. Debe aparecer el factor (x-1)

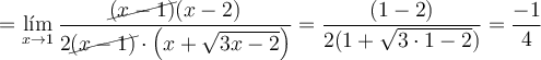
Por tanto, nos quedaría
