Cálculo de límites de funciones racionales (II)
Cálculo de límites de funciones racionales cuando x tiende a un número
Caso 
Cuando al calcular el límite de un cociente de polinomios obtenemos un resultado del tipo
, estamos ante una Indeterminación que se resuelve calculando límites laterales.
Este tipo de límites tienden a infinito, pero eso no significa que su límite sea infinito, porque los límites laterales pueden ser distintos (por ejemplo uno puede tender a +infinito y otro a -infinito).
Si dibujamos la gráfica de la función 
podemos observar que el límite cuando x tiende a 2 por la derecha es +infinito y cuando tiende a 2 por la izquierda es -infinito
–
– 
Vamos a calcularlo suponiendo que no conocemos la gráfica.
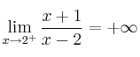
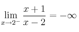
Nos piden calcular
Cuando sustituimos x por 2 obtenemos
Por tanto debemos calcular límites laterales.
Un truco para calcular los límites laterales consiste en tomar un número muy próximo a 2 (por la izquierda y por la derecha) y observar si el resultado se hace excesivamente grande y positivo (tendería a +inf), o excesivamente grande y negativo (tendería a -inf).
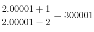
Próximo a 2 por la derecha, por ejemplo 2.00001
Por tanto 
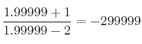
Próximo a 2 por la izquierda, por ejemplo 1.99999
Por tanto 