Cálculo de límites de funciones racionales (IV)
Cálculo de límites de funciones racionales cuando x tiende a un infinito
Indeterminación 
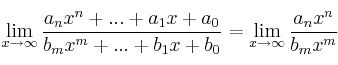
Si
y
son funciones polinómicas de cualquier grado, entonces:

Es decir, basta con tomar los términos de mayor grado (en numerador y denominador) y despreciar el resto.
No obstante, siempre se obtiene una INDETERMINACIÓN del tipo
Se resuelve dividiendo numerador y denominador por x elevado al menor de los grados (de numerador y denominador).
Por ejemplo, si grado(numerador)=4 y grado(denominador)=3 dividimos por ![]()
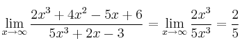
Veamos unos ejemplos:

Cuando numerador y denominador son polinomios del mismo grado, el límite es el cociente entre los coeficientes de los términos de mayor grado

Cuando el grado del denominador es mayor, el límite es siempre cero

Cuando el grado del numerador sea mayor, el resultado siempre será un infinito
(