Cociente de monomios
Cociente de monomios
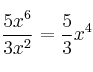
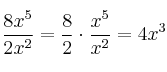
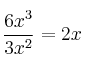
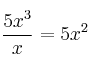
Para dividir dos monomios, dividimos la parte numérica y la parte literal.
Para dividir la parte literal debemos recordar que cociente de potencias de las misma base, se restan los exponentes
Ejemplos:
–
–
–
–
– 