• Apuntes
  • Vídeos
  • Ejercicios
    • Resueltos
    • Por Curso
      • 1º ESO
      • 2º ESO
      • 3º ESO
      • 4º ESO
      • 1º BACH. CIENCIAS
      • 1º BACH. SOCIALES
      • 2º BACH. CIENCIAS
      • 2º BACH. SOCIALES
  • Más recursos
    • Actividades Interactivas
    • Selectividad (PAU)
    • Acceso Mayores 25
    • LaTeX
Inicio ›<::: Apuntes :::> ›MATEMÁTICAS ›06 - Polinomios ›Suma y Resta de Monomios

Suma y Resta de Monomios

💬 2

  monomios

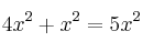
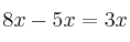
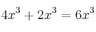
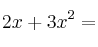
Para poder sumar y restar monomios tienen que ser semejantes.

Si son semejantes, para sumarlos/restarlos basta con sumar/restar sus coeficientes y conservar la parte literal

Ejemplos:

– 4x^3 + 2x^3 = 6x^3
– 8x - 5x = 3x
– 4x^2+x^2 = 5x^2
– 5x + 7 = no son semejantes
– 2x + 3x^2 = no son semejantes

Comentar el artículo

Mensajes

  • 22 de noviembre de 2017, 22:28, por Elismene

    Me gustó muchisimo

  • 1ro de noviembre de 2019, 22:13, por Paloma

    (3a)+(2b)-(6a)+(10a)-(8b)+(5a)=

06 - Polinomios

  • Cociente de monomios
  • Cociente de polinomios (I)
  • Cociente de polinomios (II)
  • Cociente de polinomios (III)
  • Expresión albegraica
  • Factorización de Polinomios
  • Monomios
  • Producto monomio por número
  • Producto de polinomios
  • Productos notables
  • Regla de Ruffini (I)
  • Regla de Ruffini (II)
  • Suma y Resta de Monomios
  • Teorema del resto
  • Mapa del sitio
  • Conectarse
  • 2001-2026 — Matemáticas IES — Contactar con Dani