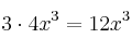
Producto monomio por número

monomios

Para multiplicar (o dividir) un monomio por un número, basta con multiplicar (o dividir) el coeficiente y conservar la parte literal

Ejemplos:

 3 \cdot 4x^3 = 12x^3
 8x \cdot 3= 24x
 14x : 7 = 2x

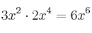
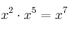
Producto de monomios

Para multiplicar monomios aplicamos la propiedad del producto de potencias de la misma base (se deja la base y se suman los exponentes).
Ejemplos:

 x^2 \cdot x^5 = x^7
 3x^2 \cdot 2x^4 = 6x^6

Comentar el artículo