Ecuaciones
(69) ejercicios de Ecuaciones
-
Resuelve la ecuación:

-
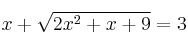
Resuelve la ecuación:

-
Resuelve la ecuación:

-
Halla un número cuya mitad, más su cuarta parte, más 1, es igual a dicho número
-
En una urna hay el doble número de bolas verdes que amarillas y triple número de bolas rojas que verdes y amarillas juntas. Si en total hay 312 bolas, ¿cuántas hay de cada color?
