Estadística Distribución Normal

distribución_normalEjercicios_Resueltosestadísticaunidimensionales

El tiempo que tarda un ordenador con Sistema Operativo Windows en producir errores graves del sistema sigue una distribución normal de media de 20 días con desviación típica de 5 días. Si instalamos Windows en nuestro PC ¿Qué probabilidad hay de que aguante más de 24 días sin producir ningún error grave del sistema?

SOLUCIÓN

Se trata de una distribución Normal, tal como dice el enunciado, de media 20 días (\mu = 20) y desviación típica 5 días (\sigma = 5)

X \longrightarrow N(\mu, \sigma)


X \longrightarrow N(20, 5)

Nos piden P(X \geq 24)

Lo primero es tipificar y después usar las tablas de la Normal estándar.

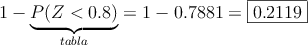
P(X \geq 24) = P \left(Z \geq \frac{24-20}{5} \right)=P(Z \geq 0.8)=

1 - \underbrace{P(Z < 0.8)}_{tabla} = 1 - 0.7881 = \fbox{0.2119}

Comentar el ejercicio