Inecuaciones
(37) ejercicios de Inecuaciones
-
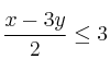
Resuelve la inecuación:

-
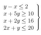
Resuelve gráficamente el siguiente sistema de inecuaciones y calcula los vértices del recinto solución:

-
Resuelve gráficamente el siguiente sistema de inecuaciones y calcula los vértices del recinto solución:

-
Resuelve gráficamente el siguiente sistema de inecuaciones y calcula los vértices del recinto solución:

-
Resuelve gráficamente el siguiente sistema de inecuaciones y calcula los vértices del recinto solución:
