Inecuaciones
(37) ejercicios de Inecuaciones
-
Resuelve la inecuación

-
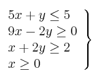
Resuelve gráficamente el siguiente sistema de inecuaciones y calcula los vértices del recinto solución:

-
Resuelve la inecuación

-
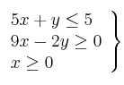
El sistema de inecuaciones

verifica:
– a. [x=3 ; y=-20] es una de las infinitas soluciones del sistema
– b. El punto (-2, 3) es solución del sistema
– c. El sistema no tiene solución
– d. La solución es un recinto limitado del plano -
El sistema de inecuaciones

verifica:
– a) El punto (-2, 3) es solución del sistema
– b) El sistema no tiene solución
– c) La solución es el intervalo (0,5)
