Ecuaciones

Ecuaciones - 1º Bachillerato de Ciencias

Resuelve la ecuación:
\frac{1}{x^2} - \frac{3}{4} = \frac{-1}{x}

Resuelve las siguientes ecuaciones:
 \frac{3}{x}+\frac{8}{x+1}=3
 \frac{8}{x}-1= \frac{4}{x}

Resuelve la ecuación \frac{x+1}{x-1} - 1 = \frac{1}{x}

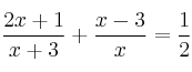
Resuelve la ecuación \frac{2x+1}{x+3} + \frac{x-3}{x} = \frac{1}{2}

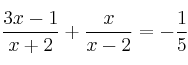
Resuelve la ecuación \frac{3x-1}{x+2} + \frac{x}{x-2} = -\frac{1}{5}

calcula k para que la ecuación x^2-6x+k=0 no tenga soluciones reales

Resuelve la ecuación:
(x-a)^2 -2x(x+a) -4a^2 = 0

Resuelve la ecuación:
ax^2+bx+b-a=0

Resuelve la ecuación:
abx^2 - (a+b)x + 1 = 0