• Apuntes
  • Vídeos
  • Ejercicios
    • Resueltos
    • Por Curso
      • 1º ESO
      • 2º ESO
      • 3º ESO
      • 4º ESO
      • 1º BACH. CIENCIAS
      • 1º BACH. SOCIALES
      • 2º BACH. CIENCIAS
      • 2º BACH. SOCIALES
  • Más recursos
    • Actividades Interactivas
    • Selectividad (PAU)
    • Acceso Mayores 25
    • LaTeX
Inicio ›EJERCICIOS de Matemáticas ›1º BACH. CIENCIAS ›Ecuaciones ›Ecuaciones Segundo Grado. Coeficientes son letras

Ecuaciones Segundo Grado. Coeficientes son letras

ecuacionesecuaciones-segundo-gradoEjercicios_Resueltos

Resuelve la ecuación:
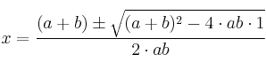
abx^2 - (a+b)x + 1 = 0

SOLUCIÓN

x=\frac{(a+b) \pm \sqrt{(a+b)^2-4 \cdot ab \cdot 1}}{2 \cdot ab}


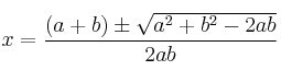
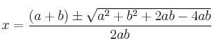
x=\frac{(a+b) \pm \sqrt{a^2+b^2+2ab-4ab}}{2ab}


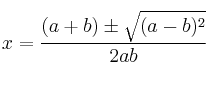
x=\frac{(a+b) \pm \sqrt{a^2+b^2-2ab}}{2ab}


x=\frac{(a+b) \pm \sqrt{(a-b)^2}}{2ab}


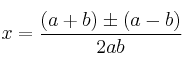
x=\frac{(a+b) \pm (a-b)}{2ab}


Las dos soluciones serían:
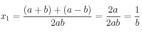
– x_1=\frac{(a+b) + (a-b)}{2ab} = \frac{2a}{2ab}=\frac{1}{b}
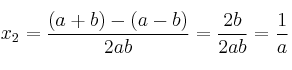
– x_2=\frac{(a+b) - (a-b)}{2ab} = \frac{2b}{2ab}=\frac{1}{a}

Comentar el ejercicio

  • 1º BACH. CIENCIAS
    • Derivadas
    • Números Reales
    • Sucesiones
    • Logaritmos
    • Polinomios y Fracciones Algebraicas
    • Exámenes
    • Ecuaciones
    • Números Complejos
    • Sistemas de Ecuaciones
    • Trigonometría
    • Inecuaciones
    • Ecuaciones Exponenciales y Logarítmicas
    • Funciones (I)
    • Geometría en el Plano
    • Cónicas
    • Funciones II
    • Integrales
    • Probabilidad
  • Mapa del sitio
  • Conectarse
  • 2001-2026 — Matemáticas IES — Contactar con Dani