• Apuntes
  • Vídeos
  • Ejercicios
    • Resueltos
    • Por Curso
      • 1º ESO
      • 2º ESO
      • 3º ESO
      • 4º ESO
      • 1º BACH. CIENCIAS
      • 1º BACH. SOCIALES
      • 2º BACH. CIENCIAS
      • 2º BACH. SOCIALES
  • Más recursos
    • Actividades Interactivas
    • Selectividad (PAU)
    • Acceso Mayores 25
    • LaTeX
Inicio ›EJERCICIOS de Matemáticas ›1º BACH. CIENCIAS ›Ecuaciones ›Ecuaciones Segundo Grado. Coeficientes Letras

Ecuaciones Segundo Grado. Coeficientes Letras

ecuacionesecuaciones-segundo-gradoEjercicios_Resueltos

Resuelve la ecuación:
ax^2+bx+b-a=0

SOLUCIÓN

ax^2+bx+b-a=0


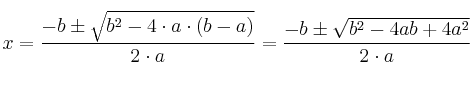
Aplicamos la fórmula
x = \frac{-b \pm \sqrt{b^2-4 \cdot a \cdot (b-a)}}{2 \cdot a}=\frac{-b \pm \sqrt{b^2-4ab+4a^2}}{2 \cdot a}
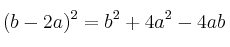
Si aplicamos los productos notables
(b-2a)^2 = b^2+4a^2-4ab
Por tanto tendremos:
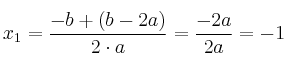
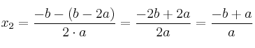
x =\frac{-b \pm \sqrt{b^2-4ab+4a^2}}{2 \cdot a} =\frac{-b \pm \sqrt{(b+2a)^2}}{2 \cdot a} = \frac{-b \pm (b-2a)}{2 \cdot a}

x_1 = \frac{-b + (b-2a)}{2 \cdot a} = \frac{-2a}{2a}=-1

x_2 = \frac{-b - (b-2a)}{2 \cdot a}= \frac{-2b+2a}{2a}=\frac{-b+a}{a}

Comentar el ejercicio

  • 1º BACH. CIENCIAS
    • Derivadas
    • Números Reales
    • Sucesiones
    • Logaritmos
    • Polinomios y Fracciones Algebraicas
    • Exámenes
    • Ecuaciones
    • Números Complejos
    • Sistemas de Ecuaciones
    • Trigonometría
    • Inecuaciones
    • Ecuaciones Exponenciales y Logarítmicas
    • Funciones (I)
    • Geometría en el Plano
    • Cónicas
    • Funciones II
    • Integrales
    • Probabilidad
  • Mapa del sitio
  • Conectarse
  • 2001-2026 — Matemáticas IES — Contactar con Dani