Ecuaciones Segundo Grado. Coeficientes con letras
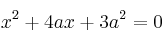
Resuelve la ecuación:
![]()
SOLUCIÓN
![]()
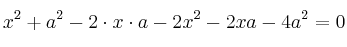
Quitamos paréntesis, operamos y ordenamos la ecuación
![]()
![]()
![]()
Podemos multiplicar todo por (-1) y queda:
![]()
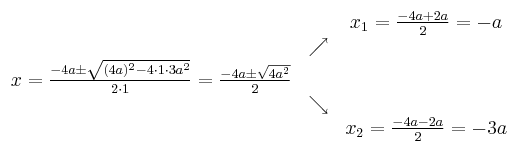
Aplicamos la fórmula de la ecuación de 2º grado

Resuelve la ecuación:
![]()
![]()
![]()
![]()
![]()
![]()
