Números Reales
(49) ejercicios de Números Reales
-
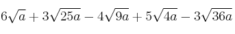
Calcula y simplifica:
– a)
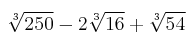
– b)![\: \sqrt[3]{250} - 2 \sqrt[3]{16} + \sqrt[3]{54} \: \sqrt[3]{250} - 2 \sqrt[3]{16} + \sqrt[3]{54}](local/cache-TeX/9dd84d4638b1bc80db11edf99a9b8f15.png)
-
Calcula y simplifica:
–
–![b) \sqrt[3]{3 \sqrt[4]{3 \sqrt[5]{3^2}}} b) \sqrt[3]{3 \sqrt[4]{3 \sqrt[5]{3^2}}}](local/cache-TeX/6f43c8a96fb8baaa5cebd38f7070b809.png)
-
Calcula y simplifica:

-
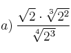
Calcula y simplifica:
–
–![b) \: \sqrt[3]{40} - \sqrt[3]{5} + \sqrt[3]{135} b) \: \sqrt[3]{40} - \sqrt[3]{5} + \sqrt[3]{135}](local/cache-TeX/d0d03db93ef9925b085bce8b4c4c92f9.png)
-
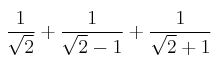
Racionaliza, opera y simplifica
