Números Reales
(49) ejercicios de Números Reales
-
Calcula y simplifica:

-
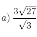
Calcula y simplifica:

-
Calcula y simplifica:
![\sqrt[4]{25} +3 \sqrt[6]{125} - \sqrt{80} \sqrt[4]{25} +3 \sqrt[6]{125} - \sqrt{80}](local/cache-TeX/a2a3fce0b0b1f923835ad64e25981e6c.png)
-
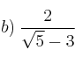
Racionaliza el denominador y simplifica
–
–
-
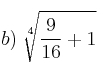
Simplifica los siguientes radicales:
–
–![b) \: \sqrt[4]{\frac{9}{16} + 1} b) \: \sqrt[4]{\frac{9}{16} + 1}](local/cache-TeX/aec52846607ea660a51ad3109ccfd6f4.png)
