Números Reales
(62) ejercicios de Números Reales
-
Opera y simplifica:
![\frac{2}{9} : \left[ \left( 3 - \frac{1}{4} \right) \cdot \left( - \frac{4}{3} \right) \right] \frac{2}{9} : \left[ \left( 3 - \frac{1}{4} \right) \cdot \left( - \frac{4}{3} \right) \right]](local/cache-TeX/38d7d6c383e966257961355c257b813a.png)
-
Opera y simplifica:
–
–
-
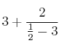
Opera y simplifica:

-
Opera y simplifica:
![\left[ 1 + \frac{2}{3} - \frac{1}{5} \left( 2 - \frac{3}{4} \right) \right] : \left[ \frac{2}{3} \left( \frac{5}{4} - 2 \right) + 1 \right] \left[ 1 + \frac{2}{3} - \frac{1}{5} \left( 2 - \frac{3}{4} \right) \right] : \left[ \frac{2}{3} \left( \frac{5}{4} - 2 \right) + 1 \right]](local/cache-TeX/18e6c91046bcfa79076c52df8807384e.png)
-
Opera y simplifica:
![- \frac{1}{2} \cdot \frac{6}{5} : \left[ \left(4 - \frac{3}{8}+\frac{2}{5} \right) \cdot (-9) \right] - \frac{1}{2} \cdot \frac{6}{5} : \left[ \left(4 - \frac{3}{8}+\frac{2}{5} \right) \cdot (-9) \right]](local/cache-TeX/eef76bdffd27754b6e90f764c7250140.png)