Números Reales
(62) ejercicios de Números Reales
-
Opera y simplifica:
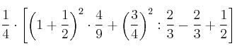
![\frac{1}{4} \cdot \left[ \left( 1+\frac{1}{2} \right) ^2 \cdot \frac{4}{9} + \left( \frac{3}{4} \right) ^2 : \frac{2}{3} - \frac{2}{3} + \frac{1}{2} \right] \frac{1}{4} \cdot \left[ \left( 1+\frac{1}{2} \right) ^2 \cdot \frac{4}{9} + \left( \frac{3}{4} \right) ^2 : \frac{2}{3} - \frac{2}{3} + \frac{1}{2} \right]](local/cache-TeX/201d2268b223c12d5b6eeedb943a2f5c.png)
-
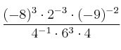
Opera y simplifica:

-
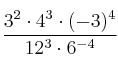
Opera y simplifica
–
–
–
–
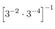
–![\left[ 3^{-2} \cdot 3^{-4} \right]^{-1} \left[ 3^{-2} \cdot 3^{-4} \right]^{-1}](local/cache-TeX/dbeb555e9261dab0b746b764df5db939.png)
-
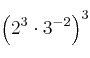
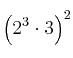
Opera y simplifica

-
Opera y simplifica
