Números Reales
(62) ejercicios de Números Reales
-
Opera y simplifica:

-
Opera y simplifica:
![\frac{2}{9} : \left[ \left( 3 - \frac{1}{4} \right) \cdot \left( -\frac{4}{3}\right) \right] \frac{2}{9} : \left[ \left( 3 - \frac{1}{4} \right) \cdot \left( -\frac{4}{3}\right) \right]](local/cache-TeX/b91a9c3fc1b4d8555dbf4dd5d5e62d35.png)
-
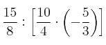
Opera y simplifica:
![\frac{15}{8}: \left[ \frac{10}{4} \cdot \left( - \frac{5}{3} \right) \right] \frac{15}{8}: \left[ \frac{10}{4} \cdot \left( - \frac{5}{3} \right) \right]](local/cache-TeX/c5df2490656ea740234adaac3fc514f7.png)
-
Opera y simplifica:
![\left( 1-\frac{7}{4} \right) : \frac{5}{12} \cdot \left[ \frac{1}{2}-\frac{2}{9} \cdot \left( - \frac{3}{4} \right) \right] \left( 1-\frac{7}{4} \right) : \frac{5}{12} \cdot \left[ \frac{1}{2}-\frac{2}{9} \cdot \left( - \frac{3}{4} \right) \right]](local/cache-TeX/f4331a5c13dd39c0974e7dfe6e107fe8.png)
-
Opera y simplifica:
![-\frac{1}{2} \cdot \frac{6}{5} : \left[ \left( 2-\frac{1}{2} \right)^2 - \left( \frac{1}{2} - \frac{2}{4} \right)^2 \right]^2 -\frac{1}{2} \cdot \frac{6}{5} : \left[ \left( 2-\frac{1}{2} \right)^2 - \left( \frac{1}{2} - \frac{2}{4} \right)^2 \right]^2](local/cache-TeX/55d2cc85d0cd129f626082db6d09c79c.png)