Polinomios
(68) ejercicios de Polinomios
-
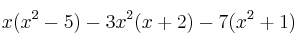
Simplifica e indica el grado del polinomio resultante:
–
–
-
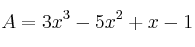
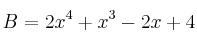
Dados los polinomios:
–
–
–
Calcula:
–
–
–
-
Opera y simplifica:

-
Opera y simplifica:

-
Desarrolla de dos formas
