Polinomios
(68) ejercicios de Polinomios
-
Calcula el resto de las siguientes divisiones:
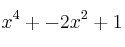
– a)
– b)
-
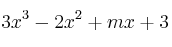
Calcula el valor de
para que el polinomio
sea dividible por:– a)
– b)
– c)
-
Factoriza los siguientes polinomios:
– a)
– b)
-
Factoriza los siguientes polinomios:
– a)
– b)
-
Calcula el cociente y el resto de las siguientes divisiones de polinomios:
– a)
– b)
