Polinomios
(68) ejercicios de Polinomios
-
Calcula y simplifica:

-
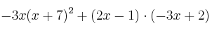
Calcula y simplifica:

-
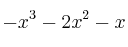
Factoriza el polinomio

-
Comprueba si las siguientes fracciones son equivalentes:
y 
-
Comprueba si las siguientes fracciones son equivalentes:
y 
