Polinomios
(127) ejercicios de Polinomios
-
Calcula el resto de la siguiente división:

-
Calcula el resto de la siguiente división:

-
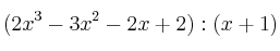
Calcula el resto de la siguiente división:

-
Indica si las siguientes divisiones son exactas:
–
–
–
–
-
Indica si son factores:
– ¿Es
factor de
?
– ¿Es
factor de
?
– ¿Es
factor de
?
– ¿Es
factor de
?