Polinomios
(127) ejercicios de Polinomios
-
Halla el valor de
para que
sea factor del polinomio 
-
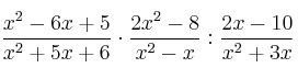
Opera y simplifica:

-
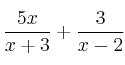
Opera y simplifica:

-
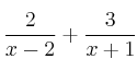
Opera y simplifica:
–
–
–
-
Calcula cociente y resto en la siguiente división de polinomios:

