Polinomios
(127) ejercicios de Polinomios
-
Calcula cociente y resto en la siguiente división de polinomios:

-
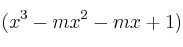
Hallar
,
y
sabiendo que en la división
se obtiene
de cociente y
de resto
-
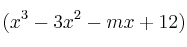
Halla el valor de
para que el polinomio
sea divisible por 
-
Halla el valor de
para que al dividir el polinomio
por
se obtenga 9 de resto
-
Averigua el resto de las siguientes divisiones:
–
–
