Polinomios
(49) ejercicios de Polinomios
-
Calcula y simplifica:
–
–
-
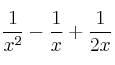
Calcula y simplifica:
–
–
-
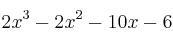
Indica si los números 1, -1, 2, -2, 3, -3 son raíces del polinomio

-
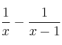
Comprueba si las siguientes fracciones son equivalentes:
y 
-
Opera y simplifica:
