Préstamos. Amortización
Pedimos un crédito de 50000 euros al 4% de interés compuesto, a pagar en mensualidades durante 15 años. ¿Cuánto debemos pagar cada mes?
SOLUCIÓN
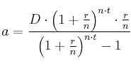
Debemos aplicar la fórmula siguiente:

![]()
(número de veces al año)
(número de años)
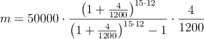
Tendríamos por tanto:

Usando la calculadora obtenemos
euros
Otra manera de usar la fórmula
Usando la siguiente fórmula de Financiación

– m es la mensualidad (lo que pagamos al mese)
– C es el capital que nos han prestado
– r : rédito (el porcentaje de interés que nos pone el banco). Ejemplo para 5% sería r=5
– t : número de meses (ejemplo: a 5 años serían 60 meses)

Usando la calculadora obtenemos
euros