Radicales
(59) ejercicios de Radicales
-
Calcula y simplifica:

-
Calcula y simplifica:

-
Calcula y simplifica:

-
Calcula y simplifica:

-
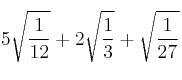
Calcula y simplifica:
![\sqrt[4]{25} +3 \sqrt[6]{125} - \sqrt{80} \sqrt[4]{25} +3 \sqrt[6]{125} - \sqrt{80}](local/cache-TeX/a2a3fce0b0b1f923835ad64e25981e6c.png)