Radicales
(59) ejercicios de Radicales
-
Calcula y simplifica:
–
–
-
Racionaliza los siguientes denominadores:
–
–
-
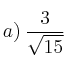
Racionaliza los siguientes denominadores:
–
–![b) \: \frac{3}{\sqrt[3]{5}} b) \: \frac{3}{\sqrt[3]{5}}](local/cache-TeX/695adf58b43dc9a9fc500ac45c85d9c5.png)
-
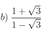
Racionaliza los siguientes denominadores y simplifica:
–
–
-
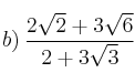
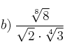
Calcula y simplifica:
–
–![b) \: \frac{\sqrt[8]{8}}{\sqrt{2} \cdot \sqrt[4]{3}} b) \: \frac{\sqrt[8]{8}}{\sqrt{2} \cdot \sqrt[4]{3}}](local/cache-TeX/9d06ed4737b64fbd6303bac319569e0d.png)