Radicales
(59) ejercicios de Radicales
-
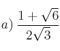
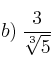
Racionaliza los siguientes denominadores:
–
–![b) \: \frac{3}{\sqrt[3]{5}} b) \: \frac{3}{\sqrt[3]{5}}](local/cache-TeX/695adf58b43dc9a9fc500ac45c85d9c5.png)
-
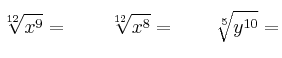
Calcula y simplifica:
– a)
– b)![\: \frac{\sqrt[8]{8}}{\sqrt{2} \cdot \sqrt[4]{3}} \: \frac{\sqrt[8]{8}}{\sqrt{2} \cdot \sqrt[4]{3}}](local/cache-TeX/d2fe7128727f310da60759faa0245a26.png)
-
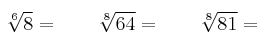
Simplifica los siguientes radicales:
![\sqrt[6]{8}= \qquad \sqrt[8]{64}= \qquad \sqrt[8]{81}= \sqrt[6]{8}= \qquad \sqrt[8]{64}= \qquad \sqrt[8]{81}=](local/cache-TeX/250c6051e8f351f9abd59fbed86cbe86.png)
-
Simplifica la siguiente expresión
![\left (\frac{\sqrt[6]{32}}{\sqrt{8}} \right )^3 \left (\frac{\sqrt[6]{32}}{\sqrt{8}} \right )^3](local/cache-TeX/ed126aa03e1b30fdfac1940e8b203c5c.png)

