Radicales
(59) ejercicios de Radicales
-
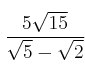
Racionaliza la siguiente expresión:

-
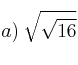
Calcula y simplifica:

-
Calcula y simplifica:

-
Calcula y simplifica:

-
Calcula y simplifica:
–
–
–
–![a) \: \sqrt[4]{\sqrt[3]{4096}} a) \: \sqrt[4]{\sqrt[3]{4096}}](local/cache-TeX/73643dd0f7ed2c257460ca3668657f44.png)