📝 Ejercicios de incompleta
-
Resuelve las siguientes ecuaciones:
–
–
-
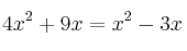
Resuelve la ecuación:

-
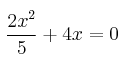
Resuelve la ecuación:

-
Resuelve la ecuación:

-
Resuelve la ecuación:

-
Resuelve las ecuaciones:
–
–
-
Resuelve las siguientes ecuaciones sin aplicar la fórmula general:
– a)
– b)
-
Resuelve las siguientes ecuaciones sin aplicar la fórmula general:
– a)
– b)
-
Resuelve las siguientes ecuaciones sin aplicar la fórmula general:
– a)
– b)
-
Resuelve las siguientes ecuaciones sin aplicar la fórmula general:
a)

b)
-
Resuelve las siguientes ecuaciones sin aplicar la fórmula general:
– a)
– b)