Matrices, Determinantes y Sistemas
Matrices, Determinantes y Sistemas - 2º Bach. Ciencias
Considera la matriz

– (a) Siendo
la matriz identidad
y
la matriz nula
, prueba que
– (b) Calcula ![]()
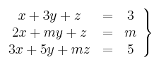
Considera el sistema

– a) Discútelo según los valores de
– b) ¿Cuál es, según los valores de
, la posición relativa de los planos cuyas ecuaciones respectivas son las tres que forman el sistema?
– a) Clasifica el siguiente sistema según los valores del parámetro ![]()

– b) Resuelve el sistema anterior para ![]()
En el sector de las aceitunas sin hueso, tres empresas A, B y C, se encuentran en competencia. Calcula el precio por unidad dado por cada empresa sabiendo que verifican las siguientes relaciones:
– El precio de la empresa A es 0,6 euros menos que la media de los precios establecidos por B y C.
– El precio dado por B es la media de los precios de A y C.
– El precio de la empresa C es igual a 2 euros mas 2/5 del precio dado por A mas 1/3 del precio dado por B.
Considera las matrices

,

– a) Calcula la matriz inversa de
– b) Calcula
y
– c) Determina
e
tal que ![]()
Considera el siguiente sistema de ecuaciones

– a) Determina, si es posible, un valor de
para que el correspondiente sistema tenga una y sólo una solución.
– b) Determina, si es posible, un valor de
para que el correspondiente sistema tenga al menos dos soluciones.
– c) Determina, si es posible, un valor de
para que el correspondiente sistema no tenga solución.
Determina la matriz
que verifica la ecuación
siendo
y ![]()

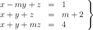
Considera el sistema de ecuaciones

– a) Clasifícalo según los valores del parámetro
– b) Resuélvelo cuando sea compatible indeterminado
Álvaro, Marta y Guillermo son tres hermanos. Álvaro dice a Marta: si te doy la quinta parte del dinero que tengo, los tres hermanos tendremos la misma cantidad. Calcula lo que tiene cada uno si entre los tres juntan 84 euros.
Considera el sistema de ecuaciones:

– (a) ¿Para qué valor de
el sistema tiene al menos dos soluciones?
– (b) ¿Para qué valores de
el sistema admite solución en la que
?