📝 Ejercicios de gauss
-
Dado el siguiente sistema:
– a) Escribe la matriz de los coeficientes, la matriz ampliada, la de las incógnitas y la de los términos independientes.
– b) Resuelve el sistema por el método que desees. A la vista de las soluciones, ¿de qué tipo es el sistema? -
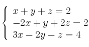
Dado el siguiente sistema:

a) Escribe la matriz de los coeficientes, la matriz ampliada, la de las incógnitas y la de los términos independientes. Expresa el sistema en forma matricial.
b) Resuelve el sistema por el método que desees (Gauss o Cramer). A la vista de las soluciones, ¿de qué tipo es el sistema?
-
Dado el siguiente sistema de ecuaciones,

a) Escribe la matriz de los coeficientes y la matriz ampliada del sistema anterior.
b) Convierte, a través de transformaciones elementales, la matriz ampliada anterior en matriz escalonada. -
El dueño de una librería va a poner a la venta libros de tres géneros diferentes: idiomas, infantil e informática.
El dueño se ha fijado como objetivo vender 150 ejemplares y quiere obtener unos ingresos por venta de 2300 €. El precio de los libros de idiomas los ha fijado a 20€/libro, los de informática a 15€/libro y a los de infantil les va a hacer un descuento del 30% sobre 10€ que costaban el año anterior. Además sabe por ventas de otros años, que el número de libros de temática infantil va a ser la mitad de los libros de temática de idiomas. Teniendo en cuenta las condiciones descritas, ¿cuántos ejemplares debería vender de cada género para obtener su objetivo?
A continuación te pedimos que respondas a cada una de las siguientes cuestiones.
1.- Identifica y nombra cada una de las incógnitas que aparecen.
2.- Determina el precio que cuesta cada libro según su género, teniendo en cuenta que para calcular el precio de los libros de temática infantil se le va a aplicar el 30% de descuento al precio de venta del año pasado que fue de 10€ cada libro.
3.- Plantea un sistema de tres ecuaciones con tres incógnitas.
4.- Resuelve el sistema de ecuaciones por el método de Gauss matricialmente. -
Considera el sistema de ecuaciones

– a) Clasifica el sistema según los valores del parámetro
– b) Resuélvelo para
– c) Resuélvelo para
-
Resuelve por el método de Gauss el sistema de ecuaciones:

-
Resuelve por el método de Gauss el sistema de ecuaciones:

-
Resuelve por el método de Gauss el sistema de ecuaciones:

-
Resuelve el sistema de ecuaciones:

-
Resuelve el sistema de ecuaciones:

-
Resuelve el sistema de ecuaciones:

-
Resuelve por el método de Gauss el sistema de ecuaciones:

-
Resuelve el sistema de ecuaciones:

-
Resuelve por el método de Gauss el siguiente sistema de ecuaciones

-
Resuelve por el método de Gauss el siguiente sistema de ecuaciones

-
Resuelve por el método de Gauss el sistema de ecuaciones:

-
Resuelve por el método de Gauss el sistema de ecuaciones:

-
Resuelve por el método de Gauss el sistema de ecuaciones:

-
Resuelve por el método de Gauss el sistema de ecuaciones:
