Ecuaciones
(67) ejercicios de Ecuaciones
-
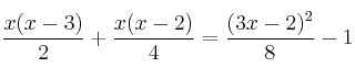
Resuelve la ecuación:

-
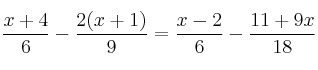
Resuelve la ecuación:

-
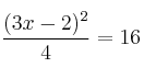
Resuelve la ecuación:

-
Resuelve la ecuación:

-
Resuelve la ecuación:

