Ecuaciones y Sistemas
(26) ejercicios de Ecuaciones y Sistemas
-
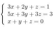
Resuelve por el método de Gauss el sistema de ecuaciones:

-
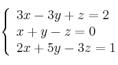
Resuelve por el método de Gauss el sistema de ecuaciones:

-
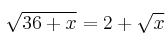
Resuelve la ecuación

-
Resuelve la ecuación

-
Resuelve la ecuación

