Ecuaciones y Sistemas
(26) ejercicios de Ecuaciones y Sistemas
-
Resuelve la ecuación:

-
Resuelve la ecuación:

-
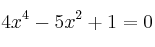
Resuelve la ecuación:

-
Resuelve la ecuación:

-
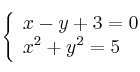
Resuelve el sistema de ecuaciones:

