Números Reales
(62) ejercicios de Números Reales
-
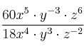
Simplifica:
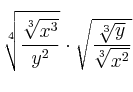
![\sqrt[4]{\frac{\sqrt[3]{x^3}}{y^2}} \cdot \sqrt{\frac{\sqrt[3]{y}}{\sqrt[3]{x^2}}} \sqrt[4]{\frac{\sqrt[3]{x^3}}{y^2}} \cdot \sqrt{\frac{\sqrt[3]{y}}{\sqrt[3]{x^2}}}](local/cache-TeX/524a078bdf843b7fc20631069ca8c4c9.png)
-
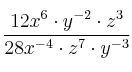
Simplifica:

-
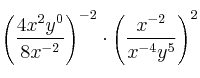
Simplifica:

-
Calcula y simplifica

-
Simplifica y expresa el resultado como potencia de exponente natural
