Polinomios
(127) ejercicios de Polinomios
-
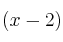
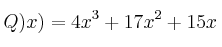
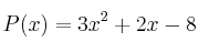
Calcula el valor de
para que el polinomio
sea divisible por 
-
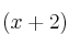
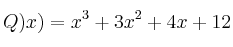
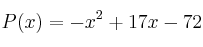
Calcula el valor de
para que el polinomio
sea divisible por 
-
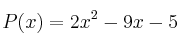
Factoriza los siguientes polinomios:
–
–
-
Factoriza los siguientes polinomios:
–
–
-
Factoriza los siguientes polinomios:
–
–