Polinomios
(127) ejercicios de Polinomios
-
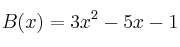
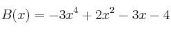
Dados los polinomios
,
y
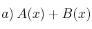
, calcula:–
–
-
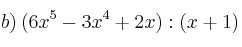
Calcula el cociente y el resto de las siguientes divisiones:
–
–
-
Factoriza los siguientes polinomios:
–
–
-
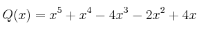
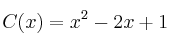
Sean los polinomios:
,
, 
Calcula:
–
–
-
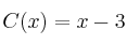
Sean los polinomios:
,
, 
Calcula:
–
–
